Atmospheric Vortex Flow Masters of Project Report
Link to CFD-Lab where I completed a course based Masters of Engineering.
Click here to view the text of the masters of engineering vortex flow project.
From January to August 2007 I was part of the University of Alberta's CFD Group. During this time I contributed to the Phoenix Lander space exploration mission by investigating local kinematics of laboratory scale dust devils (i.e. highly swirling flow similar to tornadoes). Using results from this investigation I was able to provide design input for a laboratory apparatus capable of generating a wide range of vortex flow configurations with a form that allows use within geometric restrictions of existing experimental facilities.
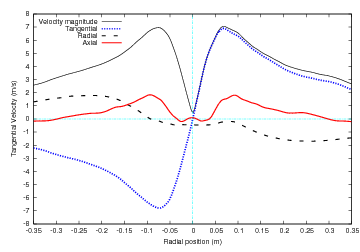
On this page there are links to a brief summary of my project, as well as the full project report and a reference to a conference paper based on my Meng work (see reference below). In addition there is a link to the CFD Group's webpage. Below right is a schematic of a Gallus type vortex generator and on the top right is a chart illustrating the velocity components of a swirling flow.
G. Altimas, J. A. Davis, K. C. Chen and C. F. Lange. "Design of a translating vortex generator using CFD". 16th Annual Conference of the CFD Society Canada, Saskatoon, Canada, 2008. Presentation and article (7 pages).



